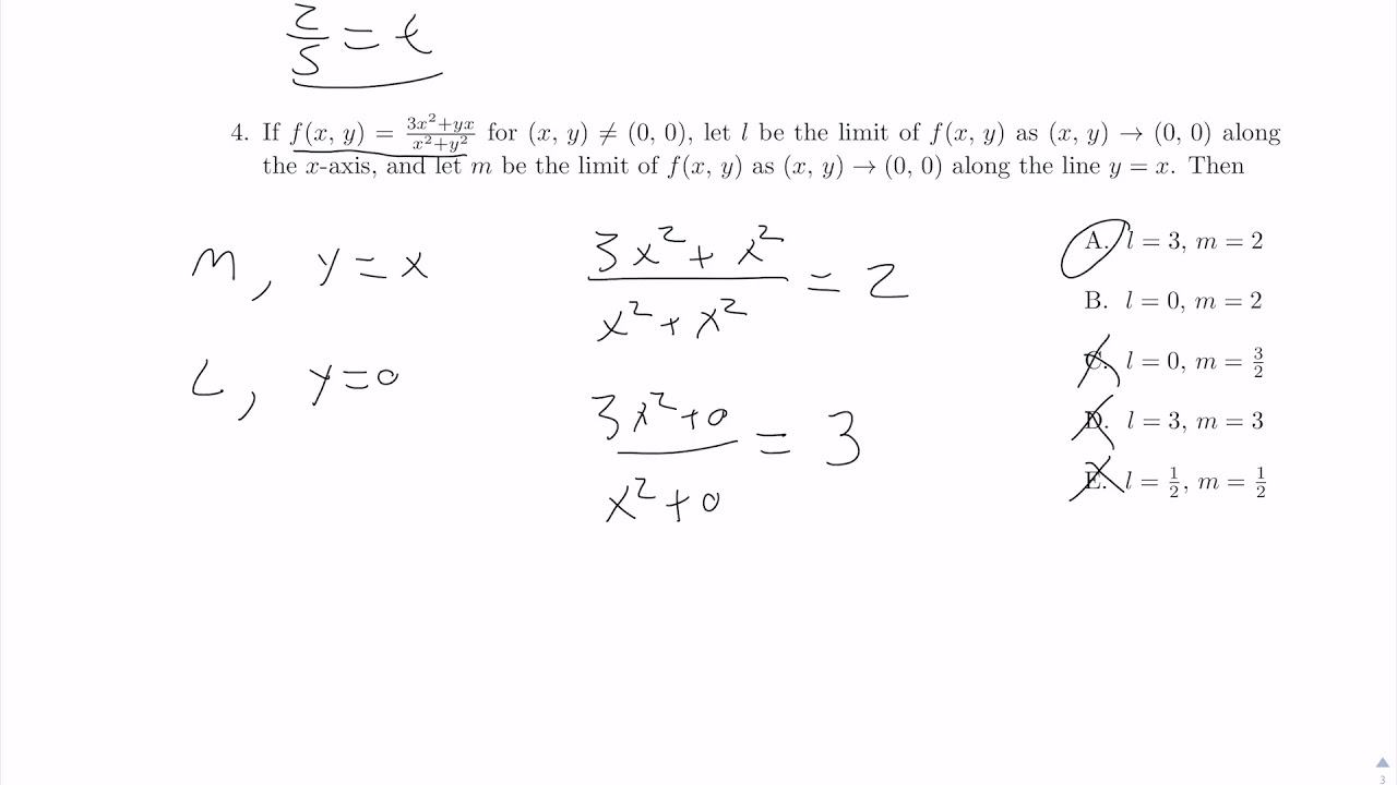
MA261Practice Problems MA 261 PRACTICE PROBLEMS If the line ` has(02)

MA261Practice Problems MA 261 PRACTICE PROBLEMS If the line ` has(02)


Image gallery: MA 261 Past Exams: Ace Your Purdue Math Course!

S2016 Exam 1 MA 261 YouTube I made a cheat sheet to study for the MA 261 (calc 3) midterm tomorrow MA261Practice Problems MA 261 PRACTICE PROBLEMS If the line ` has S2019 Final Exam MA 261 YouTube MA 261 Practice Exam Lines in 3dimensional space Which of the S2016 Final Exam MA 261 YouTube